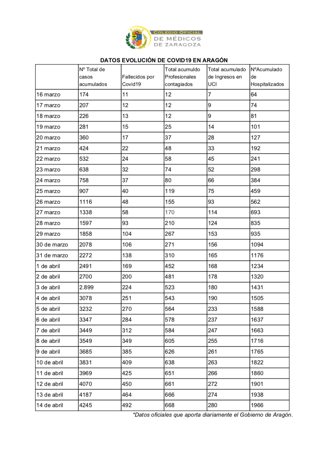
Actualización de los datos de situación del #COVID19 a fecha de martes 14 de abril en Aragón y en España

Actualización de los datos de situación del #COVID19 a fecha de martes 14 de abril en Aragón y en España

 

Actualización de los datos de situación del #COVID19 a fecha de martes 14 de abril en Aragón y en España: